R. Hamilton, B. M. Roberts, S. K. Scholten, C. Locke, A. N. Luiten, J. S. M. Ginges, and C. Perrella, Physical Review Applied 19, 054059 (2023)
doi:10.1103/PhysRevApplied.19.054059
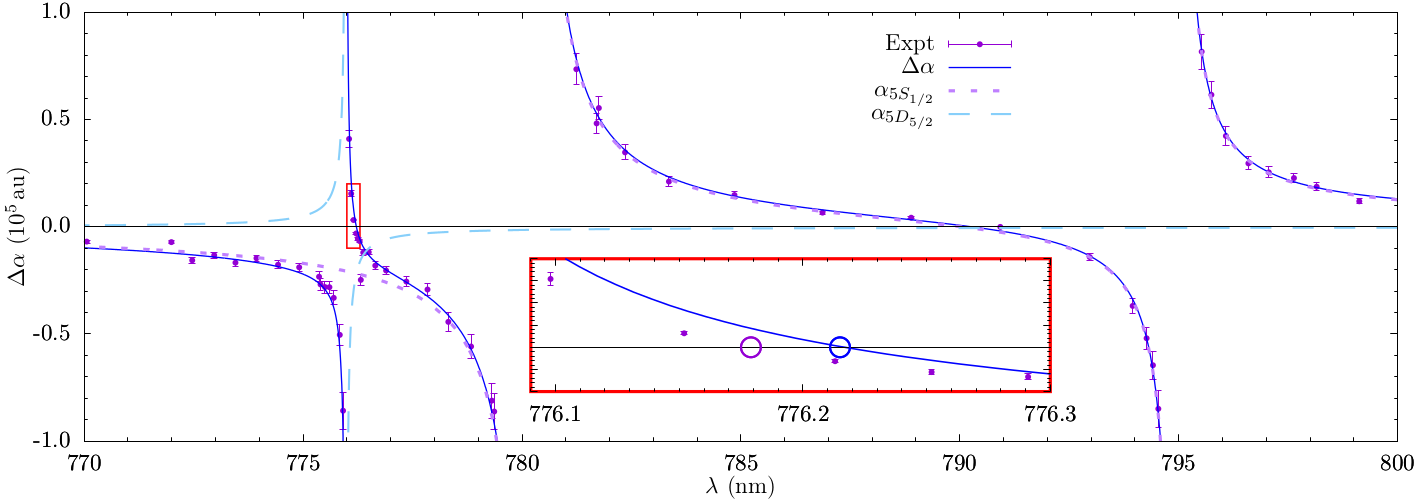
The interaction between light and an atom causes perturbations in the atom’s energy levels, known as the light-shift. These light-shifts are a key source of inaccuracy in atomic clocks, and can also deteriorate their precision. We present a study of light-shifts and associated dynamic polarizabilities for a two-photon atomic clock based on the \(5S_{1/2}-5D_{5/2}\) transition in rubidium-87 over the range 770 nm to 800 nm. We determine experimental and theoretical values for a magic wavelength in this range and the electric dipole (E1) matrix element for the \(5P_{3/2}-5D_{5/2}\) transition. We find a magic wavelength of 776.179(5) nm (experimental) and 776.21 nm (theoretical) in the vicinity of the \(5P_{3/2}-5D_{5/2}\) resonance, and the corresponding reduced E1 matrix element 1.80(6) \(ea_0\) (experimental) and 1.96(15) \(ea_0\) (theoretical). These values resolve a previous discrepancy between theory and experiment.
